안녕하세요, 기업가치평가 시리즈 두 번째 시간입니다. 오늘은 실제 기업가치를 계산하는 대표적인 방법론들을 쉽게 설명해드리겠습니다.

전통적인 기업가치평가는 크게 세 가지 방법으로 이루어집니다. 각각의 특징과 장단점을 알아보겠습니다.
가장 직관적이고 많이 사용되는 방법입니다. 쉽게 말해 "비슷한 회사는 비슷한 가치를 가진다"는 원칙입니다.
핵심 계산식:

주요 비교 지표:
장점:
단점:
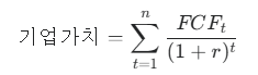
미래 창출할 현금흐름의 현재가치를 계산하는 방법입니다. DCF(현금흐름할인법)가 대표적입니다.
기본 산식:

여기서:
실무 적용 단계:
장점:
단점:
기업이 보유한 자산의 가치를 평가하는 방법입니다.
계산 방식:

적용 분야:
장점:
단점:
초기 스타트업의 경우 다음과 같은 혼합적 접근이 필요합니다:
가상의 스타트업 사례:

마치며
완벽한 기업가치평가 방법은 없습니다. 중요한 것은 여러 방법을 이해하고, 자사에 맞는 최적의 조합을 찾는 것입니다. 다음 시리즈에서는 스타트업만의 특수성을 고려한 밸류에이션 방법을 자세히 다루겠습니다.
다음 편 예고 [스타트업 성공 가이드] 기업가치평가 #3 - 스타트업 밸류에이션의 특별한 비밀: 일반 기업과 다른 이유
#기업가치평가방법 #밸류에이션 #DCF #시장접근법 #수익접근법 #자산접근법 #스타트업가치평가 #투자유치 #창업 #스타트업경영